Contoh Surat Kepada Kementerian Pertahanan
Dewan Bahasa dan Pustaka Jalan Dewan Bahasa 50460 Kuala Lumpur. Dandim Atim juga memerintahkan kepada seluruh anggota Kodim 0104Atim yang menempati perumahan dinas untuk membersihkan lingkungan rumahnya agar tidak jorok dan berantakan.
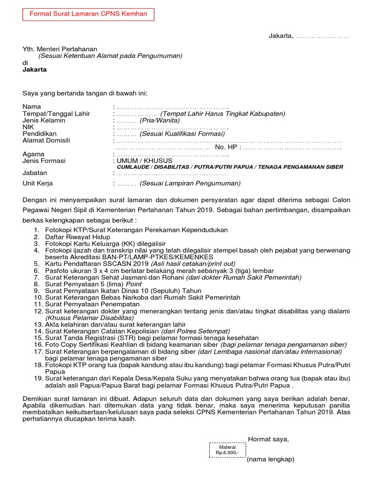
Contoh Surat Lamaran Dan Pernyataan Cpns 2021 Kemhan Portal Sulut
Umumnya korban pelanggaran HAM berat akan menderita luka fisik mental penderitaan emosional dan kerugian lain yang berkaitan dengan hak asasi manusia HAM.

. PIKIRAN RAKYAT - Presiden Ukraina Volodymyr Zelensky melaporkan bahwa Ukraina sudah menerima pasokan senjata dari mitra-mitra. Sistem Pendaftaran Pekerjaan Suruhanjaya Perkhidmatan Awam Malaysia Sistem SPA9 a. Pemohon boleh merujuk terlebih dahulu kepada maklumat Syarat LantikanGajiDeskripsi Tugas dalam Portal Rasmi SPA untuk keterangan mengenai jawatan yang bersesuaian dengan kelayakan akademik yang dimiliki sebelum mengemukakan permohonan dalam Sistem SPA9.
Guru bebas memilih Contoh Instrumen PBD dan menentukan kaedah serta Contoh Instrumen PBD pentaksiran berdasarkan kreativiti situasi dan hasil. Pengenalan Jabatan Pertahanan Awam Malaysia JPAM ialah agensi pertahanan awam di Malaysia yang terletak di bawah kawalan Kementerian Dalam Negeri Malaysia. A bilik Pembantu Khas kepada Ketua.
Diharapkan kepada Pemerintah Provinsi Sumatera Barat agar berkoordinasi dengan Kementerian Pertanian Sumatera Barat untuk menjadi perumus kebijakan dan pengambil keputusan tertinggi dan menjadi pelindung dari diimplementasikannya inovasi teknologi K-POP. Posisi ini ditempati oleh pemain dengan tubuh terbesar atau tertinggi di tim yang mengambil posisi di area garis tembakan bebas free-throw lineTugas pokok seorang pemain center dalam bola basket adalah membendung tembakan lawa menyusup pertahanan lawan. KAWALAN MESIN FAXKAWALAN MESIN FAX - merujuk kepada Surat Pekeliling Am Bil1 Tahun 1993 - menyeragamkan peraturan mengenai penggunaan mesin fax dan menjamin keselamatan dokumen rasmi Kerajaan yang dikendalikan melalui mesin fax 42.
Oleh karena itu pengaturan mengenai keuangan negara selalu didasarkan pada undang-undang ini khususnya dalam bab VIII Undang-Undang Dasar 1945 Amendemen IV pasal 23 mengatur tentang Anggaran Pendapatan dan. Undang-Undang Dasar 1945 merupakan dasar hukum yang paling tinggi dalam struktur perundang-undangan di Indonesia. Contoh Instrumen PBD dalam artikel ini hanyalah sebagai panduan dalam memberi idea kepada guru tentang bentuk instrumen yang boleh digunakan dalam melaksanakan Pentaksiran Bilik Darjah PBD.
Perundingan tertakluk kepada perkiraan royalti atau honorarium. Semua peraturan ini akan memberi faedah kepada semua termasuk Ismail Sabri yang sudah menjadi poster boy Umno walaupun tiada jaminan dia akan kekal sebagai perdana menteri selepas PRU ke-15. Diterbitkan untuk Kementerian Pendidikan Malaysia oleh.
Di Indonesia sendiri telah terjadi. Saran yang dapat dikemukakan dalam Karya Tulis Ilmiah ini antara lain sebagai berikut. Dahulu dikenali sebagai JPA3 atau Rescue 991.
Penempatan dan KawalanPenempatan dan Kawalan - tempat yang sesuai. Kebenaran terlebih dahulu daripada Ketua Pengarah Pelajaran Malaysia Kementerian Pendidikan Malaysia. Ketua pengarah JPAM kini adalah Dato Zaiton Binti Ab Samad.
Pada tahun 1951 Ordinan Pertahanan Awam telah diluluskan dan. Center juga disebut dengan Posisi 5 atau big man dalam permainan bola basket. Umum pertahanan ketertiban dan ketentraman ekonomi perlindungan lingkungan hidup perumahan dan pemukiman kesehatan pariwisata dan budaya agama pendidikan dan perlindungan sosial.
HAMKA atau Uhamka merupakan kampus Islam terbaik se-Indonesia yang berada di Jakarta dan Tangerang dengan 8 titik lokasi Uhamka terus meningkatkan mutu pendidikan akademik maupun non akademik dengan dibuktikannya sebagai kampus peraih Program Kreativitas Mahasiswa PKM 8 Bidang tahun 2022 terbanyak di. Menurut fungsi artinya klasifikasi ini digunakan sebagai dasar untuk penyusunan anggaran berbasis kinerja guna memperoleh manfaat sebesar-besarnya. Saya berterima kasih kepada semua mitra kami yang akhirnya mendengar kami.
Momen Keakraban TNI dan Masyarakat Santap Siang Bersama Menu Ikan Asin di Lokasi TMMD Bila masih ada rumah dinas yang jorok segera ditertibkan. 03-21479000 8 talian No.
Contoh Surat Lamaran Dan Pernyataan Cpns 2021 Kemhan Portal Sulut
Jangan Sampai Salah Ini Contoh Surat Lamaran Cpns Kemhan 2021 Diunggah Di Situs Sscasn Bkn Go Id Pikiran Rakyat Com Halaman 5
Template Sruat Lamaran Cpns Kemhan Pdf Pdf
Contoh Surat Lamaran Cpns Kemhan 2021 Dan Surat Pernyataan 11 Point Diunggah Di Sscasn Bkn Go Id Tribunnews Com Line Today
No comments for "Contoh Surat Kepada Kementerian Pertahanan"
Post a Comment